MojaReuma.sk
Toggle navigation
Hlavná stránka
O nás
»
Aktuality
Fórum
Miestne pobočky a kluby
»
Kontakty MP/K
»
MP Banská Bystrica
MP Bardejov
MP Bratislava
MP Čadca
MP Ilava
MP Košice
MP Levice
MP Lučenec
MP Martin
MP Poprad
MP Púchov
MP Senica
MP Topoľčany
MP Trenčín
Klub Bechterevikov
Klub Kĺbik
Klub Motýlik
Klub Psoriatickej artritídy
Klub Čiernych Kostí
O lige
Organizačná štruktúra
Dokumenty
»
Výročné správy
Členstvo
Fotogaléria
Osobnosti
Podporte nás
»
Darujme.sk
Dobrovoľníctvo
Partneri
2%
Oznamy a správy o verejných zbierkách
Aktivity
»
Univerzita reumy
Pohnime sa s reumou!
Svetový deň reumatizmu
»
Svetový deň reumatizmu 2025
Svetový deň reumatizmu 2024
Svetový deň reumatizmu 2023
Svetový deň reumatizmu 2022
Svetový deň reumatizmu 2021
Svetový deň reumatizmu 2020
Novinárska pocta KROK
»
Hlasovanie KROK 2024 (od 1. 5. 2025)
KROK 2023 (archivované)
KROK 2022 (archivované)
KROK 2021 (archivované)
KROK 2020 (archivované)
KROK 2019 (archivované)
KROK 2018 (archivované)
KROK 2017 (archivované)
KROK 2016 (archivované)
KROK 2015 (archivované)
KROK 2014 (archivované)
Prihláška pre novinárov
Publikácie
»
Zborníky KROK
Informačné bulletiny
Publikácie
Centrum sociálno-psychologickej podpory
Webináre a edukačné videá
»
Webináre
Edukačné videá
Newslettery
»
Newsletter Život s reumou
»
Život s reumou 2023
Život s reumou 2022
Život s reumou 2021
Život s reumou 2020
Newsletter Klubu Bechterevikov
»
Newsletter KBch 2022
Newsletter KBch 2021
Newsletter KBch 2020
Zaujímavosti
Život s reumou
»
Hovorme o RA
Ochorenia
Možnosti liečby
Cvičebné zostavy
»
Objednajte si ešte dnes DVD
AS (Bechterevova choroba)
Jogová terapia pre reumatikov
Strava
Pocitovníky
Príbehy pacientov
Materstvo
Život exota
Sociálne okienko
Kontakt
Prihláška
>
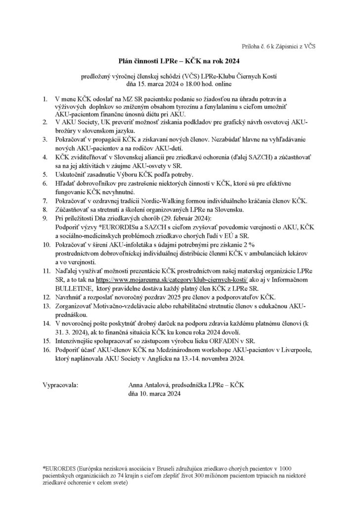
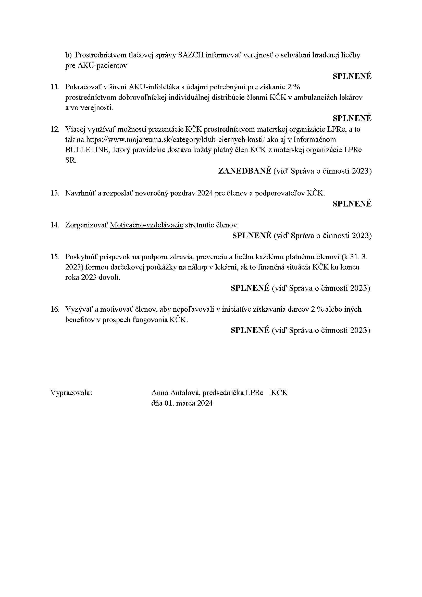
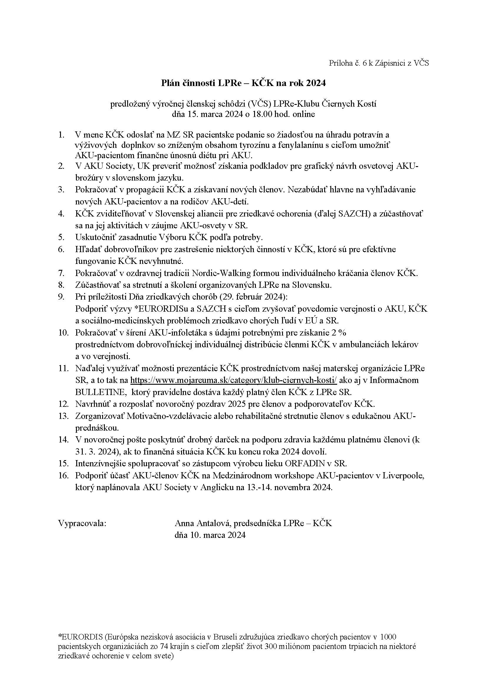
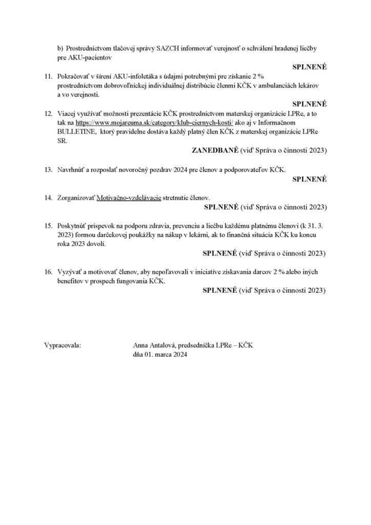
Vyhodnotenie činnosti Klubu Čiernych Kostí 2023 a plán 2024
25. 2. 2024
Vyhodnotenie činnosti Klubu Čiernych Kostí 2023 a plán 2024
—————
Téma:
Klub Čiernych Kostí
Vyhľadávanie
Hľadať:
Odber noviniek
Súhlasím s prihlásením k odberu noviniek
Súhlasím so spracovaním osobných údajov
Leave this field empty if you're human:
Ďalšie články
Všetky články
16. 12. 2021
jana
Darujme.sk
POMÔŽTE – Darujme.sk pre pacientov s reumatickými ochoreniami
Reumatické ochorenia patria medzi najrozšírenejšie na svete. Trpí nimi vyše 103 mil. Európanov. Na Slovensku sa odhaduje, že je to 45 – 50 tisíc pacientov. Spomedzi množstva rôznych reumatických diagnóz napr. reumatoidnú artritídu (RA) má až 26-tisíc dospelých ľudí, a každý...
Čítať viac
25. 2. 2026
jana
Aktivity
28. február Svetový deň zriedkavých ochorení
28. február je Svetovým dňom zriedkavých ochorení.
Čítať viac
25. 2. 2026
jana
Klub Čiernych Kostí
Vyhodnotenie činnosti Klubu Čiernych Kostí 2025 a plán 2026
---------------Téma: Klub Čiernych Kostí
Čítať viac
25. 2. 2025
jana
Klub Čiernych Kostí
Vyhodnotenie činnosti Klubu Čiernych Kostí 2024 a plán 2025
---------------Téma: Klub Čiernych Kostí
Čítať viac